-
[BDA학회 11기] 딥러닝의 이해 2주차공부 2025. 9. 24. 15:44

2주차 블로그 챌린지 BDA학회(빅데이터 분석 학회)에 관심있는 분들은 인스타(@official.bdaa)나 웹사이트(https://bdaprogram.oopy.io/) 들어가보세요!
사진에 링크 걸어뒀습니당
2주차 내용 리뷰
딥러닝 모델이 학습되는 과정
학습 단계
1. 가중치에 (초기)값을 할당한다.
2. (예측)결과를 뽑느다.
3. 오차를 계산한다. (loss function) (오차 = 실제 값 - 예측 값)
4. 오차를 줄이는 방법으로 가중치를 조정
- Optimizer: GD, Adam ... (조정 비율: learning rate)
5. 다시 1단계로 올라가 반복한다.
- Max iteration에 도달. 오차의 변동이 (거의) 없으면 끝.
- 전체 데이터를 적절히 나눠서(mini_batch) 반복: batch_size
- 전체 데이터를 몇 번 반복 학습할 지 결정: epoch
학습한다는 것은 "오차를 최소화하는 파라미터(가중치) 값을 찾는다"는 의미다.학습하는 과정은 다음 그림과 같다. 초기에 가중치를 할당한 후 학습률을 조정하며 global loss minimum값을 찾아 가는 과정이다.

출처: https://doug.tistory.com/44 딥러닝의 기본적인 개념 정리부터 하고 가겠다.
- epoch: 하나의 단위로, 모델이 학습 데이터셋 전체에 대한 학습을 완료한 상태
- 1에폭은 학습에서 훈련 데이터를 모두 소진했을 때의 횟수
- 주어진 train set을 몇 번 반복 학습할 지 결정
- lr(학습률): 다음 학습에서 나아가는 정도 즉, 조정 비율
이 두 파라미터는 하이퍼파라미터이다.
하이퍼파라미터는 모델 학습 시, 사람이 정해주어야 하는 옵션이다. 다양한 값으로 시도해보고, 검증 평가를 통해 최적의 값을 찾는 과정을 하이퍼파라미터 튜닝이라고한다.
- mini batch: 전체 데이터 셋을 몇 개의 데이터 셋으로 나누었을 때, 그 작은 데이터 셋 뭉치
- batch_size: 하나의 미니 배치에 넘겨주는 데이터 갯수, 즉 한번의 배치마다 주는 샘플의 size (기본값: 32)
- iteration: 하나의 미니 배치를 학습할 때 1 iteration이라고 한다. 즉, 미니 배치 갯수 = 이터레이션 수
위의 용어들이 처음에 배울 때는 엄청 헷갈렸는데 그림으로 보면 조금 더 이해가 쉬울 것 같아 그려봤다.

출처: https://doug.tistory.com/44
아래 코드는 그래프를 시각화하기 위한 코드로 자세히 살펴보진 않을 것이다.
def dl_visualize(ep, lr): clear_session() model = Sequential([ Dense(1, input_shape=(1,)) ]) model.compile(loss='mse', optimizer=Adam(learning_rate=lr)) # 수정된 부분: .weights.h5로 파일 경로 확장자 변경 mcp = ModelCheckpoint(filepath='/content/epoch_{epoch:02d}.weights.h5', monitor='val_loss', save_best_only=False, save_weights_only=True) history = model.fit(x_train_s, y_train_s, verbose=0, epochs=ep, callbacks=[mcp]).history coef, intercept = [], [] for i in range(ep): file = f'/content/epoch_{i+1:02d}.weights.h5' model.load_weights(file) coef.append(np.array(model.weights[0])[0,0]) intercept.append(np.array(model.weights[1])[0]) plt.figure(figsize=(20, 8)) plt.subplot(1, 2, 1) sns.scatterplot(x=x_train_s.reshape(-1,), y=y_train_s, alpha=.5) plt.grid() plt.xlabel('lstat') for i in range(ep): x = np.linspace(0, 1, 10) y = coef[i] * x + intercept[i] plt.plot(x, y, 'r--', linewidth = .5) v = 1.005 plt.text(v, coef[i] * v + intercept[i], f'ep:{i+1}', color='r') plt.subplot(1, 2, 2) plt.plot(range(1, ep+1), history['loss'], label='train_err', marker='.') plt.ylabel('Loss') plt.xlabel('Epoch') plt.legend() plt.grid() plt.show()
다음은 학습률과 에폭 수를 조정하면서 어떻게 학습이 이루어지는지 살펴볼 것이다.
먼저, 학습률을 고정하고 에폭 수를 조정하면서 결과를 비교해볼 것이다.
1) ep = 5: 손실 감소가 시작되지만 underfitting 상태이다. 즉, 데이터 분포를 잘 설명하지 못한다.
dl_visualize(ep = 5, lr = 0.01)
epoch = 5 2) ep = 10: 손실이 급격하게 줄어들고, 데이터 패턴을 어느 정도 학습했다고 볼 수 있다.
dl_visualize(ep = 10, lr = 0.01)
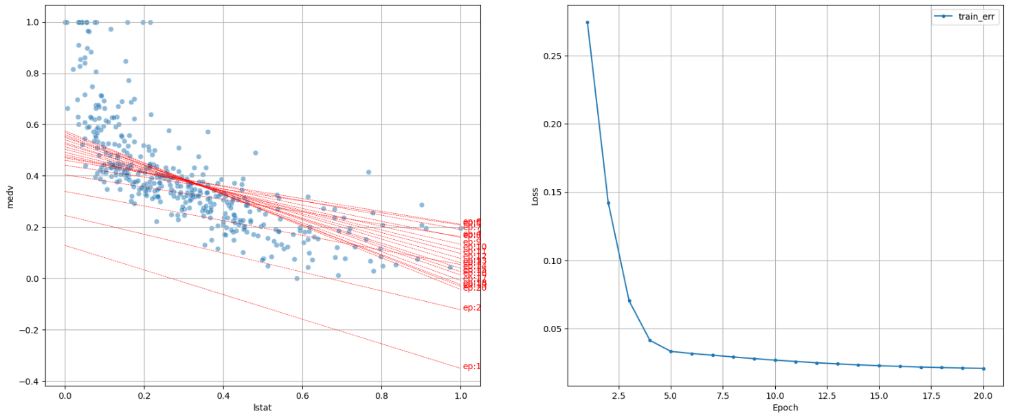
epoch = 10 3) ep = 15: 손실이 안정적으로 수렴하며, 회귀선이 데이터 분포와 잘 맞는다.
dl_visualize(ep = 15, lr = 0.01)
epoch = 15 Epoch 증가할수록 회귀선이 점점 데이터 분포와 잘 맞다. 또한, 손실곡선이 더 길게 이어지며 낮아지는 것을 확인할 수 있다. 이는 개선폭이 크지 않고 점차 완만해지면서 안정적인 상태라는 의미다.
다음은 epoch 수를 고정하고, 학습률을 조정해볼 것이다.
1) lr = 0.001: 학습이 매우 느려 손실이 크고, underfitting의 경향이 있다. (데이터 분포 설명 X)
dl_visualize(ep = 20, lr = 0.001)
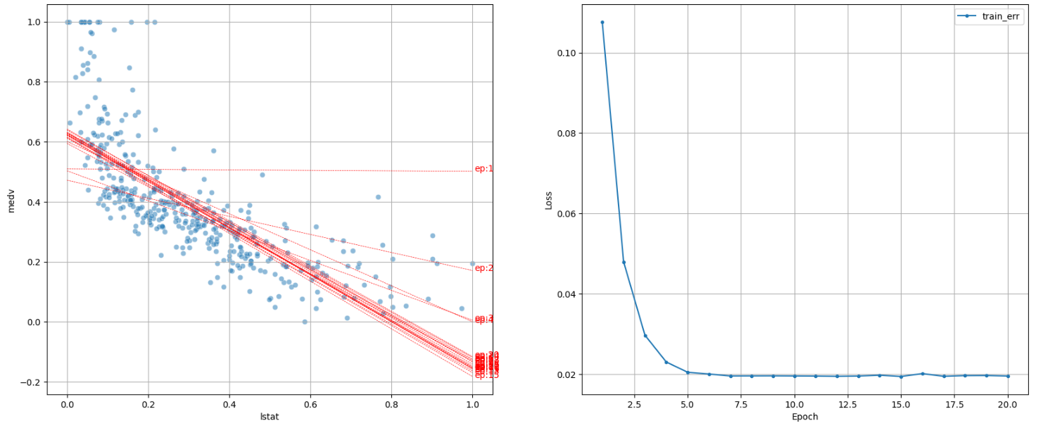
학습률 = 0.001 2) lr = 0.01: 손실이 빠르게 줄고, 회귀선이 데이터 분포와 잘 맞는다. (가장 이상적인)
dl_visualize(ep = 20, lr = 0.01)
학습률 = 0.01 3) lr = 0.1: 학습 속도가 빨라 데이터 분포에 빠르게 근접하지만, 불안정할 수 있다.
dl_visualize(ep = 20, lr = 0.1)
학습률 = 0.1 학습률은 너무 작으면 학습이 거의 안 되고, 너무 크면 불안정할 수 있다.
이번 주차는 하이퍼파라미터에 따른 그래프를 살펴보았다. 1주차 마지막에 언급했던 모델 구조는 3주차의 핵심 내용으로 더 자세히 다룰 예정이니 3주차 블로그를 기대해주시면 감사하겠습니다!
'공부' 카테고리의 다른 글
[BDA 학회 11기] 딥러닝의 이해 4주차 (0) 2025.10.13 [BDA 학회 11기] 딥러닝의 이해 3주차 (0) 2025.10.06 [BDA학회 11기] 딥러닝의 이해 1주차 (0) 2025.09.22 45회 ADsP 일주일 벼락치기 시험 후기 (전공자편) (6) 2025.06.06 - epoch: 하나의 단위로, 모델이 학습 데이터셋 전체에 대한 학습을 완료한 상태

